Matière inerte et vivante sous irradiations
- Nos Thématiques
- Nos Équipements
- Tous les Équipements
- Techniques séparatives
- Spectrométries optiques
- Résonance magnétique
- Métrologie nucléaire
- Moyens d'irradiation
- imagerie
- Analyse élémentaire
- Analyse élémentaire ICP-OES (optique)
- Spectroscopie LIBD-LIBS (Laser-Induced Breakdown Spectroscopy)
- Mesure COT (quantification carbone organique et total)
- Analyse des hydrures et hydrogène atomique dans les solides (EMGA)
- Analyse ICP-MS-Haute Résolution et solide ablation laser
- Analyse élémentaire ICP-MS
- Analyse PIGE
- Analyse PIXE
- Analyse structurale
- Electrochimie
- Nos Collaborations
- Nos Publications
- Nos Actualités
Analyses par faisceaux d’ions et contrôles non-destructifs
Les méthodes d’analyse par faisceaux d’ions
L’expression « analyse par faisceaux d’ions » (Ion Beam Analysis, IBA) fait référence à l’ensemble des techniques basées sur l’interaction d’un faisceau de particules chargées, protons ou particules alpha de quelques MeV/u, avec un échantillon (une cible).
Voici les principales méthodes d’analyse par faisceaux d’ions existantes :

Figure 1 : Les principales méthodes d’analyse par faisceaux d’ions.
Les différences entre ces méthodes sont relatives au mode d’excitation des atomes et noyaux de la cible et à la nature des particules détectées.
- La méthode PIXE (Particle Induced X-ray Emission) est basée sur la détection des rayons X émis par des atomes ionisés ou excités suite à une irradiation par un faisceau de particules chargées. L’interaction mise en jeu est un mécanisme atomique et la section efficace de production (probabilité d’émission) des rayons X est de l’ordre ou supérieure au barn. Ces rayons X sont caractéristiques des éléments présents dans l’échantillon. En mesurant l’énergie et le nombre de ces rayons X émis, il est alors possible d’effectuer une analyse multi-élémentaire. Cette méthode est généralement utilisée avec des protons de quelques MeV pour identifier et quantifier des éléments de numéro atomique Z >11 dans des échantillons, et ce dans de nombreux domaines d’application.
- La méthode PIGE est basée sur la détection des rayons gamma émis suiteà l’inteaction de la particule incidente chargée avec des noyaux atomiques de la cible. On a ici un mécanisme d’excitation nucléaire, et la section efficace de production des rayons gammas est inférieure au barn. Cette méthode est donc moins sensible que la méthode PIXE et est généralement utilisée pour détecter les éléments légers (Z<12), difficiles à détecter par cette dernière. Ces deux méthodes sont souvent utilisées conjointement.
- La méthode RBS (Rutherford Backscattering Spectroscopy) est basée sur les diffusions élastiques à grand angle (>90°) des particules incidentes. Cette méthode est notamment utilisée pour localiser la position d’une impureté dans un cristal, pour analyser les éléments de numéro atomique >5 en surface (Lüth, 1995) ou pour l’analyse isotopique des éléments (Berger et al., 2005). Elle est aussi utilisée pour contrôler les matériaux multicouches (épaisseur et composition).
- La méthode NRA (Nuclear Reaction Analysis) est basée sur la détection de particules chargées émises (proton ou particule alpha) au cours de la réaction nucléaire entre les ions incidents et les noyaux des atomes de la cible. Cette méthode est utilisée pour doser les éléments légers dans un échantillon (Z<15) et mesurer leurs profils de concentration (Trocellier et al., 2002). Elle est limitée aux basses énergies pour ne pas ouvrir trop de voies de réactions, sous peine de ne plus être capable d’extraire l’information pertinente.
- La méthode ERDA (Elastic Recoil Detection Analysis) est basée sur la détection des atomes éjectés de l’échantillon par recul élastique. La particule incidente est plus lourde que le noyau éjecté et l’échantillon est irradié en incidence rasante par rapport au faisceau. Cette technique est utilisée pour de nombreuses applications de profilage d’éléments légers (par exemple la quantification de l’hydrogène et le deutérium avec des hélions (Brice, 1988)) en raison de sa sensibilité élevée, sa résolution en profondeur (<50nm) et la possibilité d’obtenir un profil multiélément par une mesure simultanée.
- La technique d’analyse STIM (Scanning Transmission Ion Microscopy), ou microscopie ionique en transmission, est basée sur la mesure de la perte d’énergie des particules du faisceau incident. L’énergie des projectiles en sortie de l’échantillon varie en fonction de la quantité de matière traversée. La caractérisation des défauts de métallisation dans un microcircuit électronique (Breese, et al., 1992) est un exemple d’application de cette méthode.
- La méthode IBIL (Ion Beam Induced Luminescence) est basée sur la détection des photons (dans le domaine des ultraviolets, du visible ou de l’infrarouge) qui sont émis par un matériau bombardé par des particules chargées. Cette technique est utilisée pour détecter les impuretés et les défauts à l’intérieur des matériaux (Valotto, et al., 2012).
Ces méthodes d’analyses par faisceau d’ions sont à la fois qualitatives et quantitatives. Elles peuvent être utilisées simultanément. Les informations fournies, pour un échantillon donné, sont complémentaires. Elles sont en général utilisées avec des projectiles ayant une énergie incidente de quelques MeV. Avec les faisceaux d’Arronax, la plus grande énergie des projectiles permet d’envisager de nouveaux champs d’application, notamment avec des matériaux épais et/ou multicouches.
L’analyse d’un échantillon par la méthode PIXE
Lorsqu’on bombarde une cible donnée avec un faisceau de particules, des rayons X caractéristiques seront émis pour les différents éléments présents dans l’échantillon. Le spectre des rayons X détectés contient donc les pics des raies caractéristiques des différents éléments présents (voir Figure 2). Le spectre contient aussi des photons produits par le rayonnement de freinage des électrons secondaires (électrons éjectés dans le milieu suite à l’ionisation des atomes) et par effet Compton issus de l’interaction des rayons gamma avec le détecteur (les gammas proviennent de l’interaction du faisceau avec les noyaux soit de la cible soit des éléments présents dans le hall expérimental). Ces deux contributions forment un spectre continu appelé bruit de fond, sur lequel viennent se superposer les raies caractéristiques des éléments présents dans l’échantillon.

Figure 2 : spectre des rayons X émis par un alliage nickel/gallium (électro-déposé sur un substrat d’or) irradié par des protons de 70 MeV
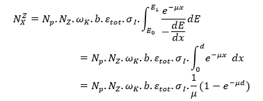
Dans le cas où le faisceau incident s’arrête dans la cible (cible épaisse), le lien entre, d’une part le nombre de rayons X détectés dans un pic pour un élément donné, et d’autre part le nombre d’atomes par unité de volume, est donné par l’équation suivante :
| (eq. 1) |
où E0 est l’énergie initiale, Np le nombre de particules incidentes, ωK le rendement de fluorescence, b l’intensité de la raie X, σI la section efficace d’ionisation de la couche, NZ le nombre d’atomes cibles par unité de volume, εtot l’efficacité de détection, Tech est un facteur de transmission tenant compte de l’auto absorption dans l’échantillon et S(E) le pouvoir d’arrêt de la cible.
Pour une cible mince, la section efficace reste quasiment constante et donc l’équation ci-dessus devient alors :
| (eq. 2) |
Ces deux dernières équations permettent de déterminer la concentration d’un élément, dans un échantillon donné, à partir de la détection des rayons X qu’il émet lors de son irradiation.
Les éléments de numéro atomique Z>11 peuvent être analysés avec PIXE. Cette limite est liée au faible rendement de fluorescence des éléments légers ainsi qu’à la faible énergie de leurs rayons X émis qui sont fortement atténués par le milieu.
La méthode d’analyse PIXE est largement utilisée avec des faisceaux de basse énergie (<4 MeV) dans de nombreux domaines d’applications : sciences des matériaux, environnement, géosciences, archéologie, art, biologie, botanique, etc. Un système portable, adapté pour l’analyse des échantillons sur le terrain, a également été développé en utilisant une source radioactive alpha (210Po, 244Cm ou 241Am). Un tel système a été déjà utilisé dans des sites archéologiques ainsi que dans des missions spatiales comme le système APXS pour Alpha-Particle X-ray Spectrometer de la mission Mars Exploration Rover -NASA (Campbell, et al., 2011)
PIXE à haute énergie
Pour analyser des échantillons épais en profondeur, comme par exemple certains objets d’art, il faut utiliser des faisceaux plus énergétiques qui vont pénétrer plus profondément dans la matière. Dans le même temps, en utilisant des faisceaux plus énergétiques, on augmente la section efficace de production de rayons X de type K pour les éléments lourds, rendant possible l’analyse avec les raies K. Cette analyse est plus simple que pour les raies L car il y a moins de pics présents et de ce fait moins de recouvrements entre ces pics. De plus, les rayons X de type K sont plus énergétiques et leur atténuation dans le milieu est donc moins importante. Il y a donc un fort intérêt à combiner la profondeur de pénétration des ions de haute énergie avec la moindre atténuation des rayons X de haute énergie. C’est le principe de la méthode HE-PIXE (High energy PIXE) qui est particulièrement adéquate pour l’analyse des éléments lourds dans des échantillons épais ayant une matrice légère et d’échantillons multicouches.

Figure 3 : parcours dans une matrice de type aluminium de différents projectiles disponibles à Arronax.
Les particules alpha de 68MeV, par exemple, ont un parcours de 1,2mm et les protons de 70MeV un parcours de l’ordre de 2cm dans l’aluminium. Cependant, la profondeur d’auscultation par la méthode PIXE à haute énergie est plus faible car elle dépend aussi de l’atténuation des rayons X ; mais pour des échantillons dont l’épaisseur est plus faible que le parcours des particules incidentes, on limite le risque d’endommagement des échantillon. Ce dernier point est très important notamment pour l’étude des objets d’art ou archéologiques.
PIXE à haute énergie à ARRONAX
Nous avons développé une plateforme d’analyse par faisceaux d’ions à Arronax autour des méthodes PIXE et PIGE à haute énergie (jusqu’a 70 MeV proton et 68 MeV alpha). L’utilisation de particules alpha peut être intéressante en raison de sa meilleure sensibilité, même si leur parcours est plus faible, qu’avec des protons. La méthode PIGE peut donner des informations sur les éléments légers présents dans les échantillons.
Dans le cadre de la thèse de D. Ragheb, nous avons établi une limite de détection de l’ordre du µg/g pour l’analyse d’éléments moyens à lourds dans une matrice légère, et analysé un dépôt de nickel/gallium sur un support en or (revoir figure 2) pour déterminer les concentrations massiques volumiques et l’épaisseur du dépôt. Les pourcentages massiques obtenus ont été comparés avec ceux obtenus en utilisant la technique d’analyse destructive ICP-OES (Inductively Coupled Plasma Optical Emission Spectroscopy). Les résultats obtenus par HE-PIXE sont en bon accord avec ceux obtenus par la technique (destructive) ICP-OES.
Dans le cadre de la thèse de M. Hazim, nous avons mené une campagne de mesure des sections efficaces d’ionisation pour un ensemble d’éléments représentatif des éléments présents dans les échantillons et couvrant une large plage de masse : titane, cuivre, argent et or. Ces données, importantes pour obtenir une quantification précise des éléments présents dans les échantillons de manière absolue, vont permettre :
- de compléter les bases de données dans lesquelles il existe peu de mesures disponibles dans la gamme d’énergie allant jusqu’à 70 MeV
- de contraindre les modèles théoriques pour obtenir une meilleure description dans la zone jusqu’à 70 MeV.
- de compléter les données pour les systématiques qui sont régulièrement proposées.
Dans le cadre de la thèse d’A. Subercaze, nous avons défini des méthodologies de mesure permettant d’identifier, la nature, l’ordre, la nature et l’épaisseur de couches d’un matériau multi-couche, même lorsque plusieurs couches du même matériau sont présentes ou qu’une couche « invisible » (rayons X correspondants n’atteignent pas le détecteur) est présente par la méthode HE-PIXE.
Bibliographie :
BERGER Pascal and REVEL Gilles Microsonde nucléaire -Principe et appareillage [Journal] // Technique de l’ingénieur. – 2005. – p. 2563.
Brice B.L. Dolyle and D.K. THE ANALYSIS OF ELASTIC RECOIL DETECTION DATA [Journal] // Nuclear Instruments and Methods in Physics Research B. – 1988. – Vol. 35. – pp. 301-308.
Trocellier Patrick and TROUSLARD Philippe Spectrométrie de collisions élastiques et de réactions nucléaires. Applications [Journal] // Techniques de l’ingenieur. – 2002. – p. 2561.
Valotto Gabrio [et al.] Multivariate analysis of Ion Beam Induced Luminescence spectra of irradiated silver ion-exchanged silicate glasses [Journal] // Spectrochimica Acta Part A: Molecular and Biomolecular Spectroscopy. – 2012. – Vol. 95. – pp. 533-539.
Breese M.B.H. [et al.] Applications of scanning transmission ion microscopy [Journal] // Nuclear Instruments and Methods in Physics Research B. – 1992. – Vol. 64. – pp. 505-511.
Campbell J.L. [et al.] A GUPIX-based approach to interpreting the PIXE-plus-XRF spectra from the Mars Exploration Rovers: I. Homogeneous standards [Journal] // Nucl. Inst. Meth. B. – 2011. – Vol. 269. – pp. 57-68.
Denker A. [et al.] Influence of corrosion layers on quantitative analysis [Journal] // Nucl. Inst. Meth. B . – 2005. – Vol. 239. – pp. 65-70
Denker A. and Opitz-Coutureau J. Paintings – high-energy protons detect pigments and paint-layers [Journal] // Nucl. Inst. Meth. B. – 2004. – Vol. 213. – pp. 677-682.

